Bernoulli’s principle is a fundamental concept in fluid dynamics that provides insight into the relationship between the velocity and pressure within a fluid in motion. Daniel Bernoulli, a Swiss mathematician, physicist and doctor, derived this principle. This principle is a cornerstone of modern physics and engineering. It is a testimony of Bernoulli’s legacy as one of the brightest minds of the 18th century.
From the aerodynamics of airplanes to the functionality of medical equipment, Bernoulli’s principle finds wide application in everyday life.
Daniel Bernoulli was born on February 8, 1700, in Groningen, in what is now the Netherlands. He belonged to a family renowned for its contributions to mathematics and science. His father, Johann Bernoulli, was a prominent mathematician. And his uncle, Jakob Bernoulli, was instrumental in developing the calculus of variations.
Daniel Bernoulli’s work spanned various disciplines, including mathematics, physics, medicine, and engineering. However, it was in fluid dynamics that he made perhaps his most enduring contribution with the publication of his book ‘Hydrodynamica’ in 1738. This pivotal work laid the foundation for modern hydrodynamics. It introduced what we now know as Bernoulli’s principle.
Bernoulli’s principle arose from his studies on the behavior of fluids and gases in motion. In his book, Hydrodynamica’ , Bernoulli used mathematical reasoning to describe how pressure, velocity, and height (or potential energy) in a fluid system are interrelated.
The principle states that if the speed of a fluid element increases as the element travels along a horizontal streamline, the pressure of the fluid must decrease, and conversely.
Bernoulli’s experiments involved tubes of varying diameters that demonstrated how fluid speed changes with pressure—a concept that was revolutionary at the time.
While Bernoulli was not the first to observe such behaviors in fluids, he was the first to articulate a coherent and mathematically rigorous explanation.

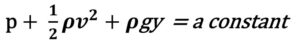
Bernoulli showed that the following equation must be true for any element of a streamline ideal fluid .

Where
p is pressure,
ρ is the density of the fluid,
v is the velocity of the fluid,
y is the elevation,
and g is acceleration due gravity.
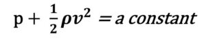
If the fluid is moving in a horizontal direction without elevation, the above equation can be written as

If the velocity (v) of a fluid element increases, maintaining a constant value on the left side requires a corresponding decrease in pressure (P).
This is precisely what Bernoulli’s principle articulates.
The elegance of Bernoulli’s principle lies in its versatility and applicability to a wide range of phenomena. Today, it highlights countless technologies and natural processes. Below are some key real-life applications
One of the most well-known applications of Bernoulli’s principle is in the design and functioning of airplane wings. The shape of an airplane wing—known as an airfoil—is designed such that air moves faster over the curved top surface than the flatter bottom surface.
According to Bernoulli’s principle, this difference in velocity creates lower pressure above the wing and higher pressure below it, generating lift. This principle is essential for flight, enabling everything from gliders to jumbo jets to take to the skies.
The Venturi effect, a direct consequence of Bernoulli’s principle, describes how a fluid’s velocity increases as it flows through a constricted section of a pipe, resulting in reduced pressure.
This effect finds application in a variety of devices, such as carburetors in engines, spray bottles, and industrial fluid systems. Medical equipment like nebulizer, which converts liquid medicine into a fine mist for patients to inhale, make use of this effect.
In sports, Bernoulli’s principle helps explain the behavior of spinning balls, such as a curveball in baseball or a sliced shot in tennis. The difference in air pressure on either side of the ball, caused by its spin, results in a curved trajectory.
Similarly, the principle is used in the design of golf balls, with their dimpled surfaces reducing air resistance and optimizing flight.
In the medical field, device such as Venturi mask, which provides controlled oxygen delivery to patients, utilizes Bernoulli’s.
It is also a key concept in understanding blood flow within the human body. For instance, cardiologists study the principle to diagnose conditions like aortic stenosis, where the narrowing of the aortic valve causes changes in blood velocity and pressure.
While Bernoulli’s principle is widely accepted and applied, it is essential to recognize its limitations.
The principle assumes an ideal fluid with no viscosity and neglects external forces like turbulence, making it less applicable in real-world scenarios involving highly viscous or turbulent flows.
Bernoulli’s principle stands as a testament to the power of scientific inquiry and mathematical reasoning. Discovered in the 18th century, it continues to influence a vast array of fields, from engineering to medicine, architecture, and beyond.
Daniel Bernoulli’s legacy is not limited to this principle alone; it is found in his enduring contributions to the understanding of nature’s complexities. Whether in the lift of an airplane wing, the spin of a soccer ball, or the flow of medicine in a nebulizer, Bernoulli’s principle reminds us of the elegance and interconnectedness of the physical world.
As technology and science continue to evolve, Bernoulli’s work remains a beacon, bridging the gap between foundational theory and practical application. His insights will undoubtedly inspire further innovations for centuries to come.