AmazingPhysicsForAll

Galileo's

Legendary Leaning Tower

Experiment

Galileo‘s legendary experiment from the Leaning Tower of Pisa in the 16th century to demonstrate the nature of falling objects.

 

Consider two iron balls. Assume one ball weighs 5 kgs, and the other ball weighs 10 Kgs. When we drop these two iron balls from the same height at the same time, which one hits the ground first? The heavier one or the lighter one?

 

Our intuition may say that the heavier one hits the ground first. Even Aristotle, the Greek Philosopher, thought the same way. But in reality, both the iron balls reach the ground at the same time. How is that possible? Keep reading.

 

Aristotle's Doctrine

Aristotle (384-322 BC), the Greek philosopher, claimed that heavy objects would fall faster.

He said,

                “There is a natural place for everything to seek as:

                Heavy things go downward, Fire upward,

                And rivers to the sea.”

Cannon Balls Experiment

As a staunch proponent of scientific method, Galileo (1564 – 1642 AD) wanted to check this out. (See his quote on the picture above.) Legend goes that he dropped two cannon balls (of different masses) simultaneously from the to top of the leaning tower of Pisa and observed the result.

 

The result was: Both the cannon balls hit the ground at the same time. Evidently, what Aristotle claimed did not happen. 

 

 

How do we explain this result? Keeping our intuition aside, once we look into the equations that describe the motion of objects under constant acceleration, it is easy to understand the result.

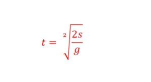
Free Fall Equation

Here is the equation that determines the time a freely falling object takes to reach the ground when it is dropped from a height, say, s.

 

 

In the above equation, t stands for the time taken by the object to reach the ground, s is the height, and g is the acceleration due to gravity.

 

The fact stands out clearly from this equation. The time (t) depends on s and g, and there is no dependency on mass. When we drop two objects simultaneously from the same height in a given place, both s and g turn out to be same for both the falling objects. So, the time (t) will be the same for both objects despite their masses being different.

 

Therefore, two objects with different masses will reach the ground at the same time when they are dropped simultaneously from the same height in a given place.

If you are curious to know how we got the above equation, click here.

 

What about a Feather?

When we drop a feather and an iron ball simultaneously from some height, why does a feather take more time to hit the ground? This is a valid question.

 

This is because the weight of the feather is tiny compared with the drag force acting on it. The drag force is able to quickly stabilize its descending speed, and the feather comes down slowly with a constant speed. However, in the case of an iron ball, the weight of the iron ball is too big to get controlled or reduced significantly by the drag force, and the iron ball keeps on accelerating until it hits the ground.

 

In fact, if you drop a feather and an iron ball in vacuum, both will hit the bottom at the same time.